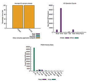
Figure 7

Figure 7: Read/write operations from darshan-job-summary.pl output PDF.

Powered by eZ Publish™ CMS Open Source Web Content Management. Copyright © 1999-2014 eZ Systems AS (except where otherwise noted). All rights reserved.